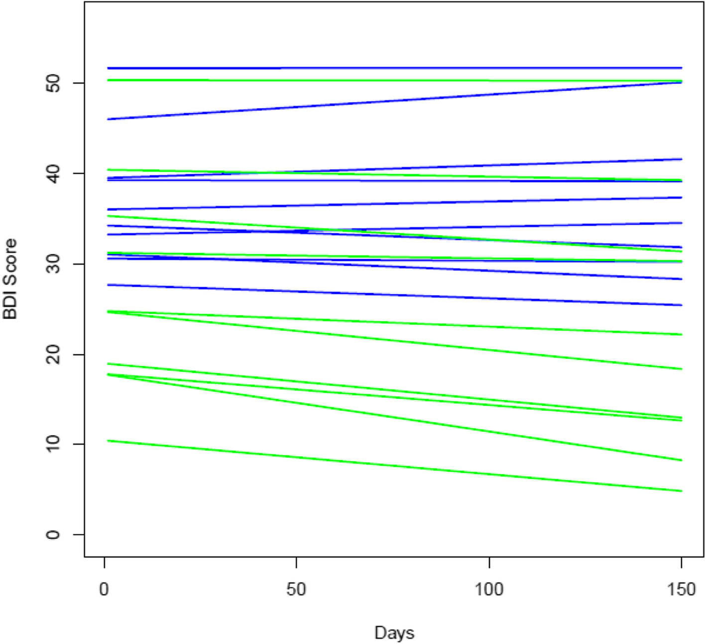
Fig. 2From: Feasibility of behavioral activation group therapy in reducing depressive symptoms and improving quality of life in patients with depression: the BRAVE pilot trialBeck Depression Inventory (BDI) scores among participant groups over the study period (n = 20). Note: Control = blue; BA = green. For four participants missing the final BDI scores, the last observations were carried forward in this figureBack to article page